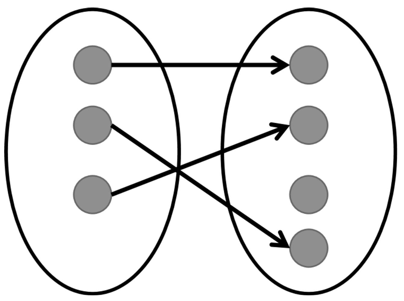
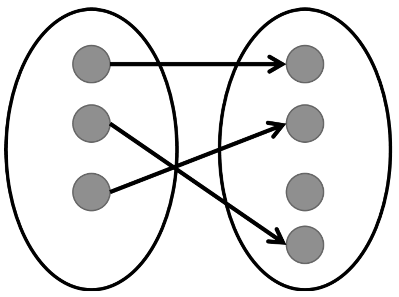
Function은 흔히 mapping(사상), transformation(변환)이라는 용어로 불리기도 함.
set으로 정의한다면,
- domain(정의역: 일종의 set)의 각 element에 대해
- co-domain(공역: 역시 일종의 set)의 elements 중 오직 하나 로 대응시키는
- Relation(or mapping)의 일종 ▶ 함수를 두 set(집합) 사이의 일종의 relation 으로 정의.
특정한 입력이 주어지면 거기에 따른 출력이 나오는 (maps to) 입출력 장치라고 볼 수 있음.
Programming Language에서의 Function의 정의는 다음을 참고.
https://dsaint31.tistory.com/506
[Python] Function Definition, Call and Arguments
이 문서는 function에 대한 간단한 소개를 하고 있다. 일부 자세한 내용들은 관련 URL을 추가하는 형태로 확장될 수 있음. Function이란 재사용성과 가독성을 위해 논리적으로 코드를 나누는(or 그룹짓
dsaint31.tistory.com
1. 수학적 정의
두 set $X$와 $Y$의 원소 간에 관계 $f$가 다음을 만족할 경우, function이라 한다.
- $\forall x \in X$에 대해 $y=f(x)$인 $y \in Y$가 반드시 존재함. (Totality, 전체성)
- $x_1, x_2 \in X$일 경우, $x_1=x_2$이며 $f(x_1) = f(x_2)$ 가 반드시 성립함. (Uniqueness, 유일성)
위 두 조건을 만족하는 function $f$는 다음과 같이 표기된다.
$$
f: X \mapsto Y
$$
2. 관련 용어.
- domain (정의역) : $X$
- codomain (공역) : $Y$
- image (상) : $Y$의 원소 중 $X$의 원소와 mapping이 된 원소
- 또는 해당 원소로 구성된 set(이 경우 range와 동일).
- 항상 codomain의 subset임.
- preimage (원상, 역상) : image에 대응하는 $X$의 원소. inverse-image(역상)라고도 불림.
- codomain의 subset $B \subseteq Y$에서 function $f$에 대한 preimage는 $X$의 subset임.
- $f^{-1}(B)=\{x\in X: f(x)\in B\} \subseteq X$
- coimage (코이미지): 정의역 $X$에서 kernel(커널)에 동일시하여 만든 quotient space(몫공간)
- $X/ \text{ker}(f)$로 표기: quotient space가 이 나누기 기호로 표기!
- 선형 변환이 보존하는 정보를 반영하는 space
- image와 canonical isomorphism(표준 동형사상) 관계가 성립함: $|\text{image}|=|\text{coimage}|$
- coimage에서 한 entry는 equivalence class(동치류) 임: 한 equivalence class는 domain의 일부 elements로 구성된 set임.
- coimage의 entry와 kernel은 domain의 partition을 이룸: 분할함.
- range (치역) : 모든 image들의 set.
- indepedent variable (독립변수) : domain의 임의의 원소.
- dependent variable (종속변수) : range의 임의의 원소.
주의: Preimage vs. Coimage
- Preimage는 image의 한 원소에 대응하는 domain의 subset(부분집합)
- Coimage는 domain의 분할(partition)을 나타내는 equivalent class(동치류)들의 집합.
- Preimage는 개별 함숫값에 대한 역상 이라면, coimage는 전체 domain의 partition(분할) 임.
2025.02.07 - [.../Math] - [Math] 예제: Domain, Codomain, Image, Range, Preimage, Coimage
[Math] 예제: Domain, Codomain, Image, Range, Preimage, Coimage
예제함수 $f(x) = x^2$, domain $X = [-2, 2]$ 를 예제로 하여 domain, codomain, image, range, preimage, coimage 를 구해봄.Domain (정의역): $X = [-2, 2]$입력값의 범위: $-2 \le x \le 2$Codomain (공역): $Y = \mathbb{R}$ (실수 전체)
dsaint31.tistory.com
https://ko.wikipedia.org/wiki/%EC%83%81_(%EC%88%98%ED%95%99)
상 (수학) - 위키백과, 우리 모두의 백과사전
위키백과, 우리 모두의 백과사전. 수학에서 상(像, 영어: image)은 어떤 함수에 대한 정의역의 원소(들)에 대응하는 공역의 원소(들)이다. 반대로, 원상(原像, 영어: preimage) 또는 역상(逆像, 영어: inv
ko.wikipedia.org
참고: isomorphism
2025.02.07 - [.../Linear Algebra] - [LA] Isomorphism (동형사상)
[LA] Isomorphism (동형사상)
수학에서 isomorphism(동형)은 두 개의 수학적 구조가 본질적으로 동일하며, 서로 1:1 대응되는 관계를 의미한다. 즉, 한 구조에서 수행하는 연산과 관계를 다른 구조에서도 동일하게 수행할 수 있
dsaint31.tistory.com
참고: domina, codomain, and range (좀 더 엄밀한 정의)
$f:X\rightarrow Y$에서
- $X$를 $f$의 정의역(domain),
- $Y$를 $f$의 공역(codomain)
이라고 한다.

- $f(x)=y$라면 $y$는 $x$의 상(image)라고 하고, $x$는 $y$의 원상(preimage)이라 부름.
- $X$의 모든 원소에 대응되는 모든 상들의 집합을 $f$의 치역(range) 또는 상(image)이라 한다.
- 치역(range)는 $f(X)$로 표기.
- domain과 codomain이 같고 domain의 모든 원소 $x$에 대하여 $f(x)=g(x)$인 두 함수는 $f,g$는 서로 같다.($f=g$)
- $f:X\rightarrow Y$에서 $S\subset X$일 때, $S$의 image는 $f(S)=\{f(s)|s\in S\}$로 적는데 이 set은 $Y$의 subset임.
3. Types of function (0)
mapping에 따른 분류.
3.1. one-to-one (단사) function
$f:X \mapsto Y$에서 $\forall x_1, x_2 \in X$ 라 하자.
이때 $f(x_1) = f(x_2) \Rightarrow x_1 = x_2$가 성립하는 경우,
$f$를 one-to-one (or injection, injective) function이라고 함.

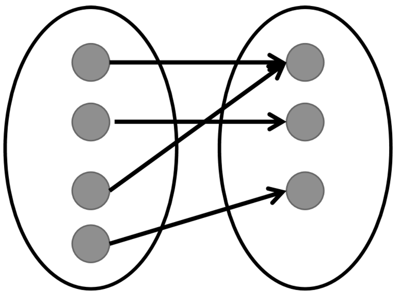
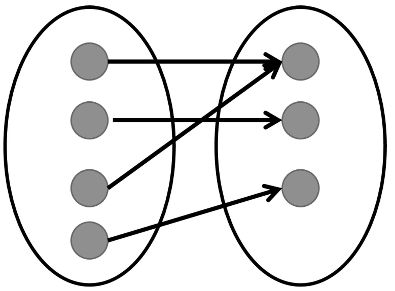
3.2. onto (전사) function
$f:X \mapsto Y$에서 $\forall y \in Y$가 적어도 하나의 $x \in X$의 image인 경우,
$f$를 onto (surjection, surjective) function이라고 함.
- functon $f$의 range(치역)는 codomain(공역)가 일치함.

3.3. one-to-one correspondence (전단사) function
- onto 이면서 one-to-one.
- bijection (or bijective)이라고 함.

4. Types of function (1)
domain과 codomain의 dimension에 따른 분류.
Vector Function ($\textbf{f}:\mathbb{R}\to\mathbb{R}^n$)
- 정의역(domain)이 $\mathbb{R}$이면서 공역(codomain)이 $\mathbb{R}^n$인 경우
- single-variable vector-valued function 또는 single variate vector-valued function 이라고 불림.
- vector 가 output인 것을 나타내기 위해 $\textbf{f}$ (bold)를 사용하거나 upper case $F$를 사용.
- output vector 의 각 element를 component function $f_i$이라고 부름.
Vector Field ($\textbf{f}:\mathbb{R}^n\to\mathbb{R}^m$)
- 정의역(domain)이 $\mathbb{R}^n$이면서 공역(codomain)이 $\mathbb{R}^n$인 경우
- multivariable vector-valued function 또는 multivariate vector-valued function 이라고 불림.
- vector 가 output인 것을 나타내기 위해 $\textbf{f}$ (bold)를 사용하거나 upper case $F$를 사용.
- output vector 의 각 element를 component function $f_i$이라고 부름.
Scalar Function ($f:\mathbb{R}\to\mathbb{R}$)
- 정의역(domain)이 $\mathbb{R}$이면서 공역(codomain)이 $\mathbb{R}$인 경우
Scalar Field ($f:\mathbb{R}^n\to\mathbb{R}$)
- 정의역(domain)이 $\mathbb{R}^n$ 이면서 공역(codomain)이 $\mathbb{R}$인 경우
- multi-variable function 또는 multi-variate function 이라고 불림.
- level set이라는 개념이 scalar field에서 매우 빈번하게 나옴. 기억할 것: https://dsaint31.tistory.com/entry/Math-Level-Set
[Math] Level Set
real multi-variate function $f:\mathbb{R}^n \to \mathbb{R}$ 에서 Level Set은 real value $c$에 대해 다음을 만족하는 set을 의미함. $$\left\{ (x_1, \dots, x_n) \in \mathbb{R}^n | f(x_1, \dots, x_n)=c \right\}$$ 위의 정의를 따르면서 $
dsaint31.tistory.com
5. Composite Function (합성함수)
어떤 domain에서 co-domain으로 mapping 될 때, 2개 이상의 함수를 거치는 경우를 가르킴.
$$ y=f(g(x))=(f\circ g)(x)$$
일반적으로 composite function에서는
- commutative law가 성립하지 않음.
- 하지만, associative law는 성립함.
참고로 distribute law는 $\circ$ (composite function)에 직접 적용되지 않음을 주의할 것.
6. Inverse Function (역함수)
2024.02.26 - [.../Math] - [Math] Inverse Function
[Math] Inverse Function: Inverse vs. Reciprocal
수학 용어에서 "reciprocal"과 "inverse"는 다른 뜻을 가지므로 주의해서 사용해야 함. inverse는 역원 이고 identity는 항등원 임.reciprocal은 역수로 특정 숫자와 그에 대한 reciprocal을 곱하면 1이 나옴Inverse
dsaint31.tistory.com
7. Increasing Function and Decreasing Function
$f:X\rightarrow Y$에서 $\forall x_1, x_2 \in X$, $x_1<x_2 \rightarrow f(x_1)\le f(x_2)$이면
increasing function(증가함수) 혹은 monotonic increasing function (단조증가함수)라고 하며,
$f(x_1)<f(x_2)$이면 strictly increasing function 이라고 한다.
마찬가지로 $f:X\rightarrow Y$에서 $\forall x_1, x_2 \in X$, $x_1<x_2 \rightarrow f(x_1)\ge f(x_2)$이면
decreasing function(감소함수) 혹은 monotonic decreasing function (단조감함수)라고 하며,
$f(x_1)<f(x_2)$이면 strictly decreasing function 이라고 한다.
8. 기타
8.1. 디리클레(Dirichlet)의 정의: Function
variable $x$, $y$에 대해 $x$의 값이 정해지면, 이에 따라 $y=f(x)$의 값이 정해질 때, $f(x)$는 $x$의 function이라 한다.
8.2. Function: 특별한 Relation
set $A$에서 set $B$로의 relation $f$가 다음의 두 조건을 모두 만족할 경우,
해당 relation을 $A$에서 $B$로의 function이라고 부름.
- $\forall x \in A, \exists y \in B: (x,y) \in f$
- $[ (x,y) \in f \wedge (x,z) \in f ] \Rightarrow y=z$
위의 정의에서 $(x,y) \in f$인 경우, $y=f(x)$라고 표기함.
2024.02.25 - [.../Math] - [Math] Relation
[Math] Relation
다음은 Relation에 대한 간단한 정의임.A relation (or, more precisely, a binary relation) on a set $A$ is a collection of ordered pairs of elements from $A$. 이를 Cartesian Product를 통해 설명하면,$A$로부터 $B$의 (binary) relation $R
dsaint31.tistory.com
8.3. 다양한 representation
function을 보다 쉽게 다루기 위한 다른 표현법도 존재함. 아래와 같이
- diargram 으로 표시하거나,
- Input/output을 가지는 box로 나타내는 경우와
- Graph로 표시하기 위한 tuple (or ordered pair, 순서쌍)의 set으로 나타내기도 함.

Graph로 나타내기 위한 순서쌍을 elements로 가지는 set $G$는 다음과 같음.
$$G=\{(x,f(x))|x\in D\}$$
- $D$: domain
같이 읽어보면 좋은 자료들
https://dsaint31.tistory.com/entry/Math-Multi-variable-vs-Multi-variate-and-Multiple-Regression
[Math] Multi-variable vs. Multi-variate and Multiple Regression
1. Multi-Variable vs Multi-Variate (in Regression)Regression에서 많이 사용되는 경우이며, 위의 용어에서 Variable은 독립변수에 해당하며, Variate는 종속변수에 해당함. variable (변수) : 독립변수에 해당.univariable
dsaint31.tistory.com
https://dsaint31.github.io/math/math-week01/#function-simple
[Math] Week 01
Basic
dsaint31.github.io
'... > Math' 카테고리의 다른 글
| [Statistics] Central Limit Theorem (0) | 2022.03.31 |
|---|---|
| [Statistics] Moment (Probability Moment) (0) | 2022.03.31 |
| [Math] Vector (2) : Vector Function (0) | 2022.03.28 |
| [Math] Vector (1) (1) | 2022.03.28 |
| Softplus (0) | 2022.03.14 |