
문제
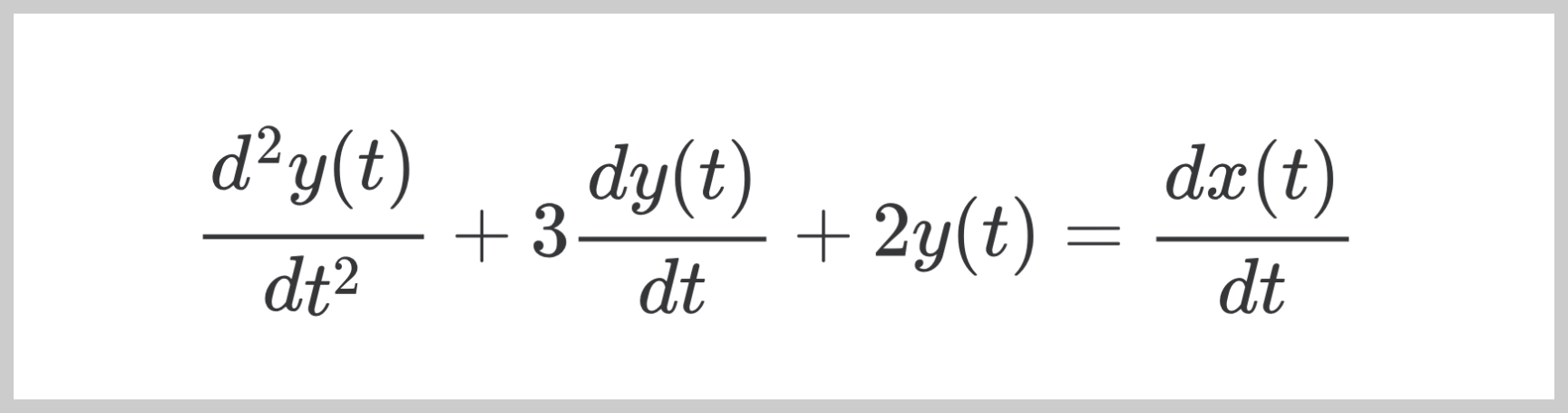
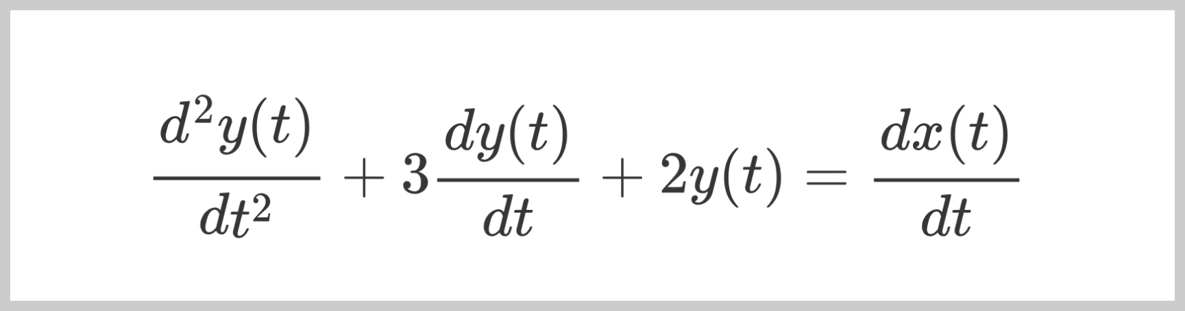
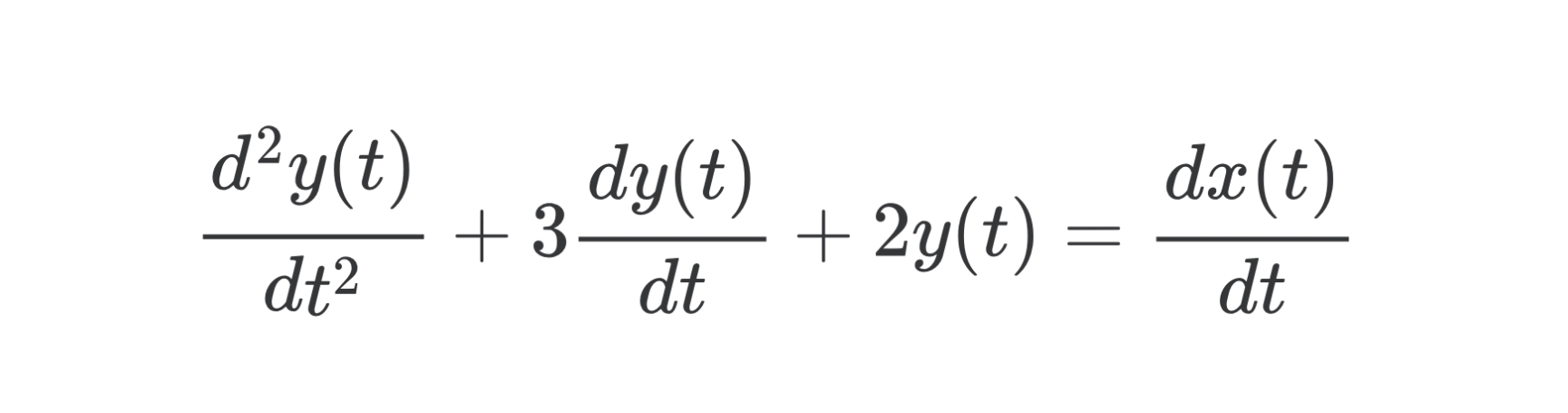
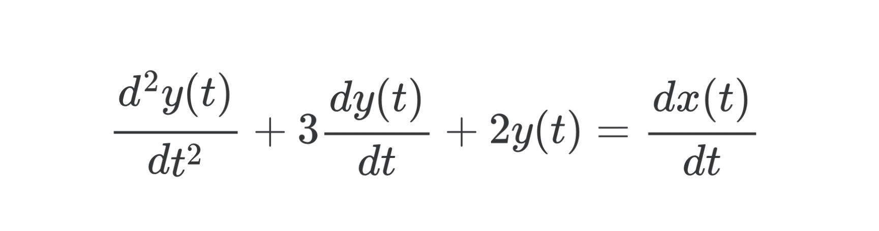
다음 미분방정식 의 시스템이 있다고 하자
$$ \frac{d^2 y(t)}{dt^2} + 3\frac{dy(t)}{dt}+2y(t)=\frac{dx(t)}{dt} $$
아래와 같은 입력과 초기조건에서
- zero-state response (초기조건이 0.)
- zero-input response (input이 0.)
- natural response (system mode만으로 구성.)
- forced response (input signal에만 의한 항으로 구성.)
를 구하라.
input signal
$$ x(t)=t^2+5t $$
initial conditions
$$ y(0^-)=2 \\ \frac{dy(0^-)}{dt} = 3 $$
Sol 1. Classic Method
- Homogeneous Solution 구하기
- Characteristic Equation을 구한다.
$$ \begin {aligned} \frac{d^2 y(t)}{dt^2} + 3\frac{dy(t)}{dt}+2y(t) &=\frac{dx(t)}{dt} \\ (D^2 +3D +2) y(t) &= D x(t) \end {aligned} $$ - Characteristic Equation으로부터 Eigen value, $\lambda$들을 구하여 $Ce^{\lambda t}$ 항으로 구성된 general homogeneous solution을 구한다.
$$ D^2+3D+2 = (D+2)(D+1)\\ \lambda_1=-2, \lambda_2=-1 \\\text{}\\\therefore y_\text{h}(t)=C_1e^{\lambda_1t}+C_2e^{\lambda_2t}=C_1e^{-2t}+C_2e^{-1t} $$
- Characteristic Equation을 구한다.
- Particular Solution 구하기 ( by method of undetermined coefficients, 미정계수법)
- 입력 함수 $x(t)$의 형태에 따라 $y_\text{p}(t)$를 정한다.
$$ x(t)=t^2+5t\\\therefore y_\text{p}(t)=C_3t^2+C_4t+C_5 $$ - 정한 $y_p(t)$를 미분방정식에 대입하여 풀어서 각 계수를 구한다.
$$ \begin {aligned} \frac{d^2 y_\text{p}(t)}{dt^2} + 3\frac{dy_\text{p}(t)}{dt}+2y_\text{p}(t) &=\frac{dx(t)}{dt} \\ 2C_3+3(2C_3t+C_4)+2(C_3t^2+C_4t+C_5)&=2t+5\\2C_3t^2+(6C_3+2C_4)t+2C_3+3C_4+2C_5&=2t+5 \end {aligned} $$
$$ \therefore 2C_3=0, 6C_3+2C_4=2,2C_3+3C_4+2C_5=5\\C_3=0, C_4=1,C_5=1 $$
$$ y_\text{p}(t)=t+1 $$
- 입력 함수 $x(t)$의 형태에 따라 $y_\text{p}(t)$를 정한다.
- Complete Solution 구하기.
- $y(t)=y_\text{h}(t)+y_\text{p}(t)$ 이며, 현재 모르는 계수들은 initial condition으로 찾는다.
$$ \begin{aligned} y(0^-)=C_1e^{-2\cdot0}+C_2e^{-1\cdot0}+0+1=2\\\therefore C_1+C_2=1\\\text{}\\Dy(0^-)=-2C_1e^{-2\cdot0}-1C_2e^{-1\cdot0}+1&=3\\\therefore-2C_1-C_2=2\\\end{aligned} $$
$$ \therefore C_1=-3,C_2=4 $$ - 최종 결과는 다음과 같음.
$$ y(t)=-3e^{-2t}+4e^{-t}+t+1 $$
- $y(t)=y_\text{h}(t)+y_\text{p}(t)$ 이며, 현재 모르는 계수들은 initial condition으로 찾는다.
- Zero-input vs. Zero-state
- Zero-state 에서는 init state가 모조리 0 이므로 다음이 성립.
$$ \begin{aligned} y(0^-)=C_1e^{-2\cdot0}+C_2e^{-1\cdot0}+0+1=0\\\therefore C_1+C_2=-1\\\text{}\\Dy(0^-)=-2C_1e^{-2\cdot0}-1C_2e^{-1\cdot0}+1&=0\\\therefore-2C_1-C_2=-1\\\end{aligned} $$
$$ \therefore C_1=2,C_2=-3 $$
$$ y_\text{zs}(t)=2e^{-2t}-3e^{-t}+t+1 $$ - Zero-input response는 이전의 Complete solution에서 Zero-state response를 뺀 항임.
$$ y_\text{zi}(t)=-5e^{-2t}+7e^{-t} $$
- Zero-state 에서는 init state가 모조리 0 이므로 다음이 성립.
- Natural response vs. Forced response
- Natural response는 Homogeneous solution을 구성하고 있는 system mode들로 구성됨. 즉, 다음과 같음.
$$ y_\text{n}(t)=-3e^{-2t}+4e^{-t} $$ - Forced response는 Complete solution에서 system mode들을 제외한 항들로 구성됨. 즉, 다음과 같음.
$$ y_\text{f}(t)=t+1 $$
- Natural response는 Homogeneous solution을 구성하고 있는 system mode들로 구성됨. 즉, 다음과 같음.
Sol 2. Laplace Transform
보통은 이처럼 풀지 않고, 다음과 같이 Laplace transform을 이용하여 s-domain에서 미방을 푸는게 일반적임.
[SS] Differential Equation and Response (zero-input, zero-state, natural, forced) w/ Laplace Transform
Laplace Transform을 이용한 Differential Equation을 풀기. 다음 미분방정식 의 시스템이 있다고 하자. $$ \frac{d^2 y(t)}{dt^2} + 3\frac{dy(t)}{dt}+2y(t)=\frac{dx(t)}{dt} $$ 아래와 같은 입력과 초기조건에서 zero-state respon
dsaint31.tistory.com
같이보면 좋은 자료들:
2023.08.22 - [.../Signals and Systems] - [SS] RLC Circuit & Differential Eq
[SS] RLC Circuit & Differential Eq
다음의 RLC회로를 미분방정식으로 풀기 위의 회로에서 입출력 및 초기조건은 다음과 같음. input : $x(t) = 10e^{-3t}u(t)$ (voltage) output : $y(t)$ (current) initial condition : $y(0)=0$, $V_c(0)=5$ $u(t)$ : unit step function.
dsaint31.tistory.com
'... > Signals and Systems' 카테고리의 다른 글
| [SS] Parallel Connection (1) | 2023.08.22 |
|---|---|
| [SS] Cascade Connection (0) | 2023.08.22 |
| [SS] Differential Equation and Response (zero-input, zero-state, natural, forced) w/ Laplace Transform (0) | 2023.08.22 |
| [SS] Differential Equation : 1st Canonical Form (0) | 2023.08.22 |
| [SS] RLC Circuit & Differential Eq (0) | 2023.08.22 |
