Differential Equation은 3가지의 subsystem을 조합하여 구현할 수 있음.
- adder : 흔히 입력이 2개의 signal이고 출력은 두 입력 singal들을 더한 signal임.
- multiplier : scalar mulitplier로 승수가 scalar인 곱셈기. 입력 singal을 상수배하여 출력. 해당 상수배는 사전에 지정됨
- integrator : 적분기로 적분이 수행되어 나옴. 입력이 $\dfrac{dx(t)}{dt}$ 인 경우, 출력이 $x(t)$로 적분되어 나옴.
위의 3가지 조합으로 differential equation을 기계적(?)으로 표현하는 방법을 canonical form이라고 부르는데, 이 문서는 그중에서 1st canonical form (다른 이름으로 direct form이라고도 불림)에 대해 다룬다.
참고: canonical의 어원적 의미
- canonical은 원래 canon(규범, 교회법, 정전(正典))에서 파생된 단어임.
- 따라서 “공식적으로 정해진”, “권위 있는 규칙에 따른”, “정형화된”의 의미를 가짐.
- 즉 단순히 많이 쓰이거나 흔하다는 뜻이 아니라, 어떤 체계 속에서 유일하고 권위 있는 대표 형태를 뜻함.
standard와의 차이
- standard:
- "기준", "규격", "보편적으로 통용되는 것" 에 가까움.
- 여러 standard가 공존 가능 (지역, 기관, 산업 마다 다를 수 있음)
- 많이 쓰이는 규격이라는 성격이 강함.
- canonical:
- 수학, cs 등에서는 "가장 단순하면서 본질적인 형태로 환원한 것" 을 의미.
- 여러 representation에서도 하나의 "정해진" 대표 형태를 가리킴.
- 표준형 이라고 번역되나 가끔 정준형 이라고도 번역됨.
Example:
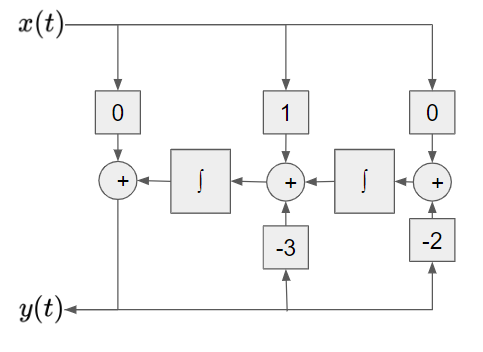
다음과 같은 미분 방정식을 1st canonical form으로 표현.
$$\begin{aligned}(D^2+3D+2) y(t) &= D x(t)\end{aligned}$$
- $D$ : 미분연산자.
우선 integrator를 사용하기 위해, differential equaiton에 미분연산자를 제거.
$$D^{-2}[(D^2+3D+2) y(t)] = D^{-2}[D x(t)] \\ (1+3D^{-1}+2D^{-2}) y(t) = D^{-1} x(t) \\ y(t) +3D^{-1}y(t)+2D^{-2}y(t)=D^{-1}x(t) $$
left side에 $y(t)$만 남기고 right side로 나머지를 이동시킴.
$$\begin{aligned}y(t) &= -3D^{-1}y(t)-2D^{-2}y(t)+D^{-1}x(t) \\ &= D^{-1}(x(t)-3y(t))+D^{-2}(-2y(t))\end{aligned}$$
이를 first canonical form으로 구현하면 다음과 같음.

참고자료:
참고로 위의 미분방정식은 다음의 RLC circuit으로부터 유도된 것임.
2023.08.22 - [.../Signals and Systems] - [SS] RLC Circuit & Differential Eq
[SS] RLC Circuit & Differential Eq
다음의 RLC회로를 미분방정식으로 풀기 위의 회로에서 입출력 및 초기조건은 다음과 같음. input : $x(t) = 10e^{-3t}u(t)$ (voltage) output : $y(t)$ (current) initial condition : $y(0)=0$, $V_c(0)=5$ $u(t)$ : unit step function.
dsaint31.tistory.com
다음은 2nd canonical form임.
2023.08.22 - [.../Signals and Systems] - [SS] Differential Equation : 2nd Canonical Form
[SS] Differential Equation : 2nd Canonical Form
다음과 같은 미분 방정식을 2nd canonical form으로 표현. $$\begin{aligned}(D^2+3D+2) y(t) &= D x(t)\end{aligned}$$ $D$ : 미분연산자. 우선 적분기를 사용하기 위해 미분연산자를 제거. $$D^{-2}[(D^2+3D+2) y(t)] = D^{-2}[D x
dsaint31.tistory.com