
1. Continuous System & Discrete System
Continuous System
- 입력과 출력이 연속 신호인 시스템
Discrete System
- 입력과 출력이 이산 신호인 시스템
2. Linear System & Non-linear system
Linear system $\mathcal{T}\left\{ \quad \right\}$은 다음 두가지 property를 가짐.
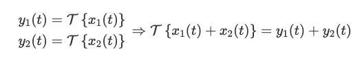
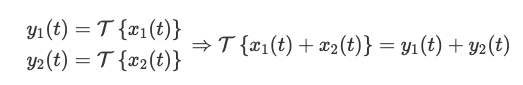
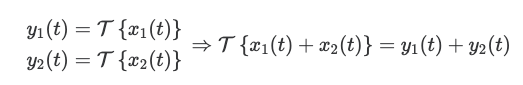
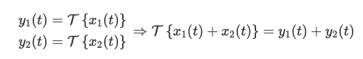
2-1. Additivity (가산성) property
$$\begin{matrix} y_1(t)=\mathcal{T}\left\{x_1(t)\right\} \\ y_2(t)=\mathcal{T}\left\{x_2(t)\right\}\end{matrix} \Rightarrow \mathcal{T}\left\{x_1(t)+x_2(t)\right\}=y_1(t)+y_2(t)$$
2-2. Scaling (or homogeneity) property
$$\begin{aligned} y(t)&=\mathcal{T}\left\{x(t)\right\} \\ ay(t)&=\mathcal{T}\left\{ax(t)\right\} \end{aligned}$$
3. The Principle of Superposition 과 Linear System
additivity와 homogeneity를 만족할 때, princple of superposition이 성립.:
$$\mathcal{T}\left\{ax_1(t)+bx_2(t)\right\} = ay_1(t)+by_2(t)$$
where
- $y_1(t) = \mathcal{T}\left\{x_1(t)\right\}, y_2(t)=\mathcal{T}\left\{x_2(t)\right\}$
- $a, b$ : constants
additivity와 homogeneity를 동시에 만족 ▷ superposition이라 함.
linear system은
principle of superposition을 만족함.
non-linear system은 말 그대로 linearity가 성립하지 않는 system임.
참고로, linear system의 경우
1. matrix equation으로 표현이 가능하며
2. standard matrix로 해당 system을 표현할 수 있음.
A system $\mathcal{T}$ is a linear system if,
- when the input consists of a weighted summation of several signals,
- the output will also be a weighted summation of the response of the system to each individual input signal.
More precisely,
- for any collection $\{f_k(x,y), k=1,2,\dots,K\}$ of input signals, and
- for any collection $\{ \omega_k, k=1,2,\dots,K\}$ of weights,
we have
$$ \mathcal{T}\left[\sum^K_{k=1}\omega_kf_k(x,y)\right]=\sum^K_{k=1} \omega_k \mathcal{T}[f_k(x,y)].\tag{2.31} $$
3. Linear system의 장점.
Principle of Superposition
- 아무리 복잡한 형태의 입력신호도 단순한 형태의 기본적인 신호로 분해가능.
- Linear System의 경우, 각각의 기본적인 신호에 대한 응답을 분리하여 계산 후 이들을 더함으로 system의 출력을 구할 수 있음.
주파수 보존
- Linear System의 경우, 입력 신호와 같은 주파수 성분만을 포함하는 출력신호를 보임.
- 다른 주파수 성분이 포함되지 않음.
'... > Signals and Systems' 카테고리의 다른 글
| [SS] System의 종류 (3) (0) | 2023.08.21 |
|---|---|
| [SS] System의 종류 (2) : Time Invariant, Causal (0) | 2023.08.21 |
| [SS] System 이란? (0) | 2023.08.21 |
| [SS] Properties of Impulse Function (0) | 2023.08.21 |
| [SS] Ramp Function (0) | 2023.07.05 |