
Exponential Fourier Series
Trigonemetric Fourier Series의 일반형에서 같은 주파수 $k\Omega_0$를 공유하는 sin과 cos 항을
Complex Exponential Term으로 다음과 같이 변경가능함.
- 이는 sin 항과 cos 항의 coefficient를 따로 구하던 방식과 달리,
- 모든 항이 complex exponential term의 동일한 형태를 가지게 됨.
- 주파수의 관점에선 harmonic의 주파수가 fundamental frequency의 양수배($k>0$)로 구성되던 Trigonemetric Fourier Series에서
- Complex Exponential Fourier Series로 바꾸면서 positive term과 negative term을 가지도록 변경됨.
$$a_k\cos k\Omega_0 t + b_k \sin k \Omega_0 t \\ = a_k\frac{e^{jk\Omega_0 t }+ e^{-jk\Omega_0 t}}{2} + b_k \frac{e^{j k \Omega_0 t} - e^{-j k \Omega_0 t}}{2j} \\ = \frac{a_k-jb_k}{2}e^{jk\Omega_0 t} + \frac{a_k + jb_k}{2}e^{-jk\Omega_0 t}\\ = X_k e^{jk\Omega_0 t} + X_{-k} e^{-jk\Omega_0 t}\\ \quad \\ \therefore \tilde{x}(t)= \sum^\infty_{k=-\infty} X_k e^{jk\Omega_0t}$$
참고로 Trigonemtric Fourier Seires는 다음과 같음:
$$\tilde{x}(t)= a_0 + \sum^\infty_{k=1} \left[ a_k \cos k\Omega_0t + b_k \sin k\Omega_0t\right]\quad , T=\frac{2\pi}{\Omega_0}$$
보다 일반형이 단순해진다는 장점과 $k$의 범위가 양수에서 대칭적인 $[-\infty, \infty]$가 된다는 장점을 가짐.
단, 이에 대한 대가로 imaginary component가 생긴다.
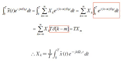
Exponential Fourier series의 weighted sum 에서의 각 coefficient, $X_k$ 구하기.

Compelx Exponential Fourier Series의 Fourier Coefficient 표기-Polar Form
$$X_k = | X_k | e^{j\angle X_k}$$
하나의 숫자로 보이지만 2개의 구성요소를 가지는 셈: magnitude와 phase.
- 즉, line spectrum이 2개 존재함.
- magnitude spectrum: $ k\Omega_0 $에 대한 magnitude의 그래프.
- phase spectrum : $k \Omega_0 $에 대한 phase의 그래프.
line spectrum인 이유는 $k\Omega_0$ 이므로 $\Omega_0$ 간격으로 떨어진 discrete variable에 대한 spectrum이기 때문임.
'... > Signals and Systems' 카테고리의 다른 글
| Lorentzian Function (or Cauchy distribution function) (0) | 2025.10.24 |
|---|---|
| Parseval's Theorem (0) | 2025.10.15 |
| Trigonometric Fourier series (0) | 2025.10.01 |
| Unit Pulse Signal (Box Signal, Rect Signal) (3) | 2025.07.29 |
| Discrete Unit Step Function (1) | 2025.07.29 |