Multinomial Distribution :

$K$ 개 class인 Categorical Variable의 sample instance를 $N$개 얻을 때,
각각의 class $i$가 각각 $x_i$번 나오는 random variable $\textbf{X}$의 이산 확률 분포.
달리 말하면 $\textbf{x}$가 $(x_1, x_2, \cdots, x_K)$가 되는 확률의 분포를 가르킴.
1. Multinomial Distribution
수식으로 표현할 경우 다음과 같음.
$$
\textbf{X} \sim \text{Mul}(x;N,\mu)
$$
class가 $K$인 multinomial trial을 1회 수행한 경우의 확률변수는
Categorical distribution을 따른다고 하며,
class가 $K$인 multinomial trial을 $N$회 수행한 경우의
확률변수는 Multinomial distirbution을 따른다.
($N=1$인 경우, Multinomial distribution은 Categorical distribution임)
2024.05.22 - [.../Math] - [Math] Categorical Distribution
[Math] Categorical Distribution
Categorical Distribution일반적으로 multi-class classification (다중분류문제)에서 사용되는 확률분포.Categorical Random Variable$K$개의 정수값 중 하나를 가질 수 있는 확률변수.이때 가질 수 있는 $K$개의 정수값
dsaint31.tistory.com
2023.03.14 - [.../Math] - [Math] Binomial Distribution (이항분포)
[Math] Binomial Distribution (이항분포)
Binomial Distribution (이항분포) :1. 정의 1이 나올 확률(or 성공확률)이 $p$이고, 0이 나올 확률(or 실패확률)이 $1-p$인 Bernoulli trial을 $N$번 반복하는 경우의 성공횟수를 Random Variable $X$라고 할 경우, $X$가
dsaint31.tistory.com
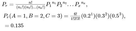
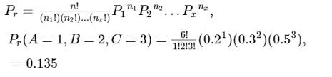
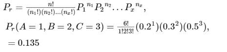
2. Probability Mass Function (pmf) 수식
$$
\begin{aligned}\text{Mul}(x;N,\mu)&=\frac{N!}{x_1!x_2!\cdots x_K!}\prod_{i=1}^K\mu_i^{x_i}\end{aligned}
$$
where
- $N$ : 전체 trial 횟수
- $K$ : 가능한 class 수
- $\mu_i$ : $i$ class에 속할 확률.
- $x_i$ : $i$ class에 속한 trial의 갯수 ($N$중에서)
- $\prod$: product!
- $N!$ : factorial.
- $N! = N\cdot(N-1)\cdot(N-2) \cdots 2\cdot1$
3. Moment
Categorical Distribution의 moment가 vector인 것처럼,
Multinomial의 경우도 vector로 나오며, 각 element는 다음과 같음.
3-1. Expected Value (기댓값)
$$E[x_i]=N\mu_i$$
3-2. Variance (분산)
$$\text{Var}[x_i]=N\mu_i(1-\mu_i)$$
4. 예제: scipy.stats.binom
import scipy.stats
import numpy as np
import matplotlib.pyplot as plt
import seaborn as sns
sns.set()
# random variable : rv
N = 30
K = 6
mu = [0.1,0.2,0.2,0.2,0.2,0.1]
rv = scipy.stats.multinomial(N, mu)
# np.random.seed(973037)
x = rv.rvs(100, random_state=973037)
print(x[:10])
import pandas as pd
df = pd.DataFrame(x)
df.columns = df.columns+1
print(df)
df2 = df.stack().reset_index()
df2.columns = ['trial #','class','count']
plt.figure(figsize=(20,10))
sns.violinplot(x='class', y='count', data=df2, color='gray')
sns.swarmplot(x='class', y='count', data=df2)
plt.show()
같이보면 좋은 자료들
2024.04.18 - [.../Math] - [Math] Probability Distribution
[Math] Probability Distribution
Probability DistributionProbability Distribution은 특정 random variable(확률 변수)이 취할 수 있는 각각의 값에 대한 확률을 나타내는 분포임.Probability Distribution Function (PDF)으로 기술되며,random variable이 어떤 값
dsaint31.tistory.com
'... > Math' 카테고리의 다른 글
| [Math] Optimization 이란 (Introduction) (0) | 2024.06.01 |
|---|---|
| [Math] Categorical Distribution (0) | 2024.05.22 |
| [Math] Example: Variable (0) | 2024.05.02 |
| [Math] The Law of Total Probability (0) | 2024.04.23 |
| [Math] Probability Distribution (0) | 2024.04.18 |