728x90
728x90

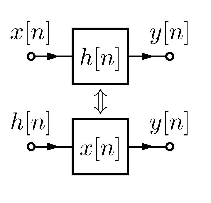
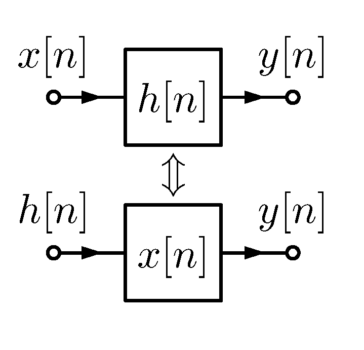
$$\begin{aligned}y(t)&=x(t)*h(t)\\&=\int^\infty_{-\infty}x(\tau)h(t-\tau)d\tau \\ &=- \int^{-\infty}_\infty x(t-l)h(l) dl \quad\quad \leftarrow l=t-\tau \\ &=- \int^{-\infty}_\infty h(l) x(t-l)dl \\&=\int^{\infty}_{-\infty} h(l) x(t-l)dl\\&=\int^{\infty}_{-\infty} h(l) x(t-l)dl \quad\quad \leftarrow l\text{을 }\tau\text{로 표기 변경} \\ &=\int^{\infty}_{-\infty} h(\tau) x(t-\tau)d\tau \\&=h(t)*x(t)\end{aligned}$$
input function과 impulse response를 바꾸어서
처리해도 같은 출력을 구할 수 있음을 유의할 것.
728x90
'... > Signals and Systems' 카테고리의 다른 글
| [SS] Causal LTI System and Convolution (0) | 2023.08.22 |
|---|---|
| [SS] Convolution Example : Pulse Function (0) | 2023.08.22 |
| [SS] Output of LTI System : Convolution with Impulse Response (0) | 2023.08.21 |
| [SS] System의 종류 (3) (0) | 2023.08.21 |
| [SS] System의 종류 (2) : Time Invariant, Causal (0) | 2023.08.21 |