
z-Transform의 일반형은 다항식( polynomial)을 분자(numerator), 분모(denominator)로 가지는 분수 형태로 표현됨.
$$
H(z)=\frac{P(z)}{Q(z)}=\frac{\displaystyle\sum^M_{m=0}b_m z^{-m}}{\displaystyle 1+\sum^N_{n=1}a_nz^{-n}}
$$
이 때, numerator polynomial을 0으로 만드는 $z$의 값들과 denominator polynomial를 0으로 만드는 z의 값들을 각각 zeros, poles라고 부름.
Zero (영점):
numerator polynomial(분자다항식)을 0으로 만드는 $z$를 가르킴.
Pole (극점):
denominator polynomial(분모다항식)을 0으로 만드는 $z$를 가르킴.
z-Transform이 무한대가 되는 $z$임.
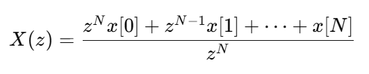
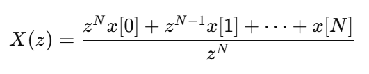
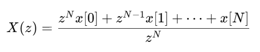
Finite-length signal(or FIR 시스템) 의 경우

- 기본 z-transform 표현에서는 분모가 1이므로 “표면적으로는” pole이 없음.
그러나 z-transform을 rational form으로 쓰면 항상 z=0 (origin)에서 pole이 존재함.

- 즉, FIR은 본질적으로 z=0에 N개의 pole을 갖는 rational function으로 표현됨.
- 유한한 길이의 신호의 경우, 모든 복소평면에 대해 z-Transform이 구해진다고 애기하지만 엄격히 말하면 z=0인 원점은 제외임.
ROC (Region of Convergence)
z-Transform이 존재하는 $z$의 영역 ($z$는 복소평면에 존재하므로, 복소평면에서 z-Transform이 발산하지 않는 영역을 가르킴.)
추가로 읽어보면 좋은 자료
https://dsaint31.tistory.com/entry/SS-ROC-of-z-Transform
[SS] ROC of z-Transform
Region of Convergence (ROC, 수렴영역) z-Transform은 Laplace Transform의 discrete version이라고 볼 수 있기 때문에, 마찬가지로 ROC가 존재함. (Unilateral z-Transform의 경우, ROC가 없이 사용가능하나, Bilateral z-Transform
dsaint31.tistory.com
[SS] Poles and Zeros: Impulse Response and Frequency Response
"> 0. Pre-requiredments0-1. Region of Convergence (ROC)Laplace Transform의 ROC는 다음과 같은 특징을 가짐.유한한 구간내에 존재하며 발산하지 않는 signal :ROC가 모든 s 평면에서 수렴.right-sided signal (어떤 값 이상
dsaint31.tistory.com
2022.11.30 - [.../Signals and Systems] - [SS] z-Transform: Introduction
[SS] z-Transform: Introduction
1. z-Transform이란?Laplace Transform의 Discrete Version (or Generalization of DTFT)Continuous Time Signal과 System에서 Laplace Transform의 역할을Discrete Time Signal과 Discrete Time System에서 담당.수식적으로 보면, DTFT (Discrete Time
dsaint31.tistory.com
'... > Signals and Systems' 카테고리의 다른 글
| [SS] Signal이란? (0) | 2023.06.16 |
|---|---|
| [SS] Signal의 정량적 특성 (0) | 2023.06.16 |
| [SS] z-Transform : Transfer function (0) | 2023.06.16 |
| [SS] sinc function and sampling function (0) | 2022.12.09 |
| [SS] ROC of z-Transform (0) | 2022.11.30 |