Partial fraction decomposition은 이항분리 라는 이름으로도 불림.
여러 방법이 있지만, Heaviside라는 분이 제안한 Cover-up 기법이 가장 효과적인 기법으로 알려져 있음.
- 아주 간단한 경우에는 통분 후 등식의 left-, right-side의 계수를 비교하는 방법으로도 충분하나,
- 복잡한 형태인 경우엔 Cover-up 기법이 가장 효율적임.
신호 및 시스템 등에서는 Inverse Laplace Transform에서 복소적분을 피하기 위해 사용되지만,
분수함수의 적분이나 극한 등을 쉽게 구하는데에도 많이 이용된다.
Distinct Real Poles (Non-repeated linear factors)
s-domain에서의 $X(s)$를 $\frac{N(s)}{D(s)}$의 $s$에 대한 "다항식의 비", 즉 "일반형 (General form)"으로 놓자.
$$
\begin{aligned}
X(s) &= \frac {N(s)} {D(s)} \\
\frac{N(s)}{D(s)} &= \frac{A}{s-b} + R(s)\\
\frac{N(s)}{D(s)} \times {(s-b)} &= {A} + R(s)\times {(s-b)}
\end{aligned}
$$
- $N(s)$ : numerator (분자) 다항식.
- $D(s)$ : denominator (분모) 다항식.
위 식에서 두번째 행의 식으로 전개는 부분분수분해에서 $(s-b)$를 분모로 가지는 항의 분자 $A$를 구하기 위한 전개임.
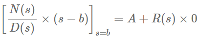
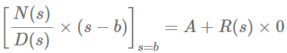
여기서 $s=b$를 사용하면, 다음과 같이 $A$구해짐.
$$\begin{align*} \left[ \frac{N(s)}{D(s)} \times {(s-b)} \right]_{s=b}&= {A} + R(s)\times {0} \\ \left[ \frac{N(s)}{D(s)} \times {(s-b)} \right]_{s=b}&= {A} \\ \left[ \frac{N(s)}{D_{R}(s) \times {(s-b)}} \times {(s-b)} \right]_{s=b}&= {A} \\ \left[ \frac{N(s)}{D_{R}(s) } \right]_{s=b}&= {A} \\ \end{align*}$$
즉, 부분분수 분해에서 $(s-b)$가 분모인 항의 분자 $A$를 위와 같이 구할 수 있음.
요약하면,
- 구하고자 하는 우변의 특정항 (여기서 $\frac{A}{(s-b)}$)의 분모 $(s-b)$를 식의 양변에 곱해주어
- 좌변의 분모에서 해당 factor $(s-b)$를 가려주고 (Cover-up) : 가려진 분모가 $D_{R}(s)$임.
- 가리어진 factor가 0이 되게 하는 s의 Pole을 대입하여
- 구하고자 하는 우변의 분자 $A$를 얻음.
가리는 부분에서 Cover-up 이라는 이름이 유래된 것이라고 생각할 수 있음.
주의할 것
- $D(s)$는 $D_R(s)\times(s−b)$ 로 분해가 가능함을 잊지말 것.
- 위의 방법을 사용하여 부분분수 분해를 하려면 $N(s)$와 $D(s)$는 서로소(disjoint or coprime)이며, $D(s)$가 $N(s)$보다 차수가 커야 함.
- causal system에 대한 $N(s)/D(s)$에서는 항상 $N(s)$가 $D(s)$보다 차수가 적거나 같음.
Repeated Real Poles (Repeated linear factors), 중근
분모인 $D(s)$에 $(s−b)$ 일차식의 거듭제곱 이상이 있는 경우(중근, multiple root 존재)엔 조금 더 처리가 필요함.
일단, 세제곱(cubic)의 경우를 살펴보면 다음과 같은 항으로 분해될 수 있음
$$\begin{aligned}
\frac{N(s)}{D(s)} &= \frac{A_1}{(s-b)}+\frac{A_2}{(s-b)^2}+\frac{A_3}{(s-b)^3} + R(s) \\
\frac{N(s)}{D(s)} \times {(s-b)^3} &= {A_1}\times {(s-b)^2}+{A_2}\times {(s-b)}+{A_3} + R(s)\times {(s-b)^3}
\end{aligned}$$
- $R(s)$ : 나머지 항들을 의미. (remainder term)
여기서 $s=b$를 사용하면,
$$\begin{aligned} \left[ \frac{N(s)}{D(s) } \times {(s-b)^3} \right]_{s=b}&= \left[ {A_1}\times {(s-b)^2}+{A_2}\times {(s-b)}+{A_3} + R(s)\times {(s-b)^3} \right]_{s=b}\\ \left[ \frac{N(s)}{D_{R_1}(s)} \right]_{s=b}&=\left[ {A_1}\times {(s-b)^2}+{A_2}\times {(s-b)}+{A_3} + R(s)\times {(s-b)^3} \right]_{s=b}\\ \left[ \frac{N(s)}{D_{R_1}(s)} \right]_{s=b}&=\left[ {A_1}\times {0}+{A_2}\times {0}+{A_3} + R(s)\times {0} \right]_{s=b}\\ \left[ \frac{N(s)}{D_{R_1}(s)} \right]_{s=b}&= {A_3} \end{aligned}$$
$(s−b)^3$이 분모인 항의 분자 $A_3$를 위와 같이 구할 수 있음.
- $D_{R_1}(s)$는 $D(s)$에 대해 $(s-b)^3$이 나누어진 remainder term임.
그리고, $A_2$를 구하기 위해서는 다음과 같은 식에서
$$\begin{aligned} \frac{N(s)}{D(s)} &= \frac{A_1}{(s-b)}+\frac{A_2}{(s-b)^2}+\frac{A_3}{(s-b)^3} + R(s) \\ \frac{N(s)}{D(s)} \times {(s-b)^3} &= {A_1}\times {(s-b)^2}+{A_2}\times {(s-b)}+{A_3} + R(s)\times {(s-b)^3} \end{aligned}$$
양변을 $s$에 대해 미분
$$\frac {\text{d}}{\text{d}s} \left( {\frac{N(s)}{D_{R_1}(s)} } \right)= {A_1}\times {2(s-b)}+{A_2} + R(s)\times {3(s-b)^2} +R'(s)\times {(s-b)^3}$$
여기서 $s=b$를 사용하면,
$$\begin{align*} \left[ \frac {d}{ds} \left( {\frac{N(s)}{D_{R_1}(s)} } \right) \right]_{s=b}&= {A_1}\times {0}+{A_2} + R(s)\times {0} + R'(s)\times {0}\\ \left[ \frac {d}{ds} \left( {\frac{N(s)}{D_{R_1}(s)} } \right) \right]_{s=b}&= {A_2} \end{align*}$$
$(s−b)^2$이 분모인 항의 분자 $A_2$를 위와 같이 구할 수 있음.
그리고, $A_1$를 구하기 위해서는 다음과 같은 식에서
$$\begin{align*} \frac{N(s)}{D(s)} &= \frac{A_1}{(s-b)}+\frac{A_2}{(s-b)^2}+\frac{A_3}{(s-b)^3} + R(s) \\ \frac{N(s)}{D(s)} \times {(s-b)^3} &= {A_1}\times {(s-b)^2}+{A_2}\times {(s-b)}+{A_3} + R(s)\times {(s-b)^3} \end{align*}$$
양변을 $s$에 대해 미분
$$\frac {\text{d}}{\text{d}s} \left( {\frac{N(s)}{D_{R_1}(s)} } \right)= {A_1}\times {2(s-b)} +{A_2}+ R(s)\times {3(s-b)^2} +R'(s)\times {(s-b)^3}$$
양변을 다시 $s$에 대해 미분
$$\frac {\text{d}^2}{\text{d}s^2} \left( {\frac{N(s)}{D_{R_1}(s)} } \right)= 2{A_1} + R(s)\times {6(s-b)} + ...$$
여기서 $s=b$를 사용하면,
$$\begin{align*} \left[ \frac {\text{d}^2}{\text{d}s^2} \left( {\frac{N(s)}{D_{R_1}(s)} } \right) \right]_{s=b}&= 2{A_1} + R(s)\times {0} + 0 + ... \\ \left[ \frac {\text{d}^2}{\text{d}s^2} \left( {\frac{N(s)}{D_{R_1}(s)} } \right) \right]_{s=b}&= 2{A_1} \\ \frac {1}{2} \left[ \frac {\text{d}^2}{\text{d}s^2} \left( {\frac{N(s)}{D_{R_1}(s)} } \right) \right]_{s=b}&= {A_1} \end{align*}$$
위를 일반화 하면 다음과 같음
$$\frac{N(s)}{D(s)} = \frac{A_1}{(s-b)}+\frac{A_2}{(s-b)^2}+...+\frac{A_N}{(s-b)^N} + R(s)$$
where
$$\begin{align*} A_{k} &= \frac{1}{(N-k)!}\left[ \frac {\text{d}^{N-k}}{\text{d}s^{N-k}} \left\{ (s-b)^{N} X(s) \right\} \right]_{s=b} , k=1,2,...,N-1 \\ A_{N} &= \left[ (s-b)^{N} X(s) \right]_{s=b} \end{align*}$$
Complex Poles (복소수근)
$$\begin{align*} X(s)&=\frac { N(s) }{ D(s) } \\ \frac { N(s) }{ D(s) } &=\frac { A_{ 1 }s+A_{ 2 } }{ \left( s-b_{ 1 } \right) \left( s-b_{ 2 } \right) } +R(s)\\ \frac { N(s) }{ D(s) } \times { \left( s-b_{ 1 } \right) \left( s-b_{ 2 } \right) }&={ \left(A_{ 1 }s+A_{ 2 }\right) }+R(s) \times { \left( s-b_{ 1 } \right) \left( s-b_{ 2 } \right) } \\ \lim _{ s\rightarrow b_{ 1 } }{ \left[ \frac { N(s) }{ D(s) } \times { \left( s-b_{ 1 } \right) \left( s-b_{ 2 } \right) } \right] } &=\lim _{ s\rightarrow b_{ 1 } }{ \left[ { \left(A_{ 1 }s+A_{ 2 }\right) }+R(s)\times { \left( s-b_{ 1 } \right) \left( s-b_{ 2 } \right) } \right] } \end{align*}$$
- $N(s)$와 $D(s)$의 coefficient들이 모두 real number인 경우, $b_1$과 $b_2$는 complex conjugate(켤레 복소수)임.
여기서 $s=b_1$를 사용하면,
$$\begin{align*} X(s)&=\frac { N(s) }{ D(s) } \\ \frac { N(s) }{ D(s) } &=\frac { A_{ 1 }s+A_{ 2 } }{ \left( s-b_{ 1 } \right) \left( s-b_{ 2 } \right) } +R(s)\\ \frac { N(s) }{ D(s) } \times { \left( s-b_{ 1 } \right) \left( s-b_{ 2 } \right) }&={ \left(A_{ 1 }s+A_{ 2 }\right) }+R(s) \times { \left( s-b_{ 1 } \right) \left( s-b_{ 2 } \right) } \\ \lim _{ s\rightarrow b_{ 1 } }{ \left[ \frac { N(s) }{ D(s) } \times { \left( s-b_{ 1 } \right) \left( s-b_{ 2 } \right) } \right] } &=\lim _{ s\rightarrow b_{ 1 } }{ \left[ { \left(A_{ 1 }s+A_{ 2 }\right) }+R(s)\times { \left( s-b_{ 1 } \right) \left( s-b_{ 2 } \right) } \right] } \end{align*}$$
위 등식에서 양변의 계수들을 일치시키면 complex conjugate pole을 포함하고 있는 경우의 계수 $A_1$과 $A_2$를 구할 수 있음.
References
Heaviside cover-up method - Wikipedia
From Wikipedia, the free encyclopedia Jump to navigation Jump to search The Heaviside cover-up method, named after Oliver Heaviside, is one possible approach in determining the coefficients when performing the partial-fraction expansion of a rational funct
en.wikipedia.org

'... > Signals and Systems' 카테고리의 다른 글
| [SS] Impulse Function (Dirac Delta Function) (0) | 2022.08.29 |
|---|---|
| [SS] Example : Sampling function and Sinc function. (0) | 2022.08.29 |
| [Math] Geometric Series (등비급수 or 기하급수) (0) | 2022.06.21 |
| [SS] FT of phase shifted sinusoid! (0) | 2021.12.07 |
| [SS] Impulse Train 의 FT 구하기. (0) | 2021.10.28 |