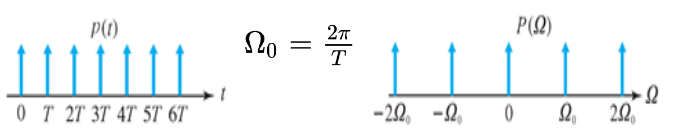
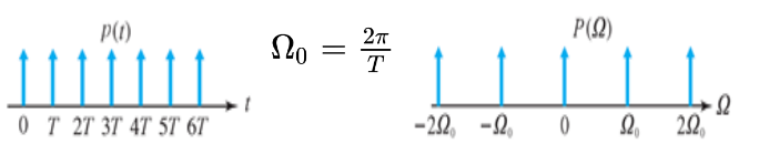
FT의 결과가 역시 impulse train이라는 점과
time domain에서의 주기 $T$가 freq. domain의 주기 $\Omega_0=\frac{2\pi}{T}$와 반비례 관계라는 점,
그리고 time domain에서의 convolution이 freq. domain에선 곱하기라는 점을 통해
Nyquist-Shannon 의 Sampling Theorem을 이해하는데 핵심적 역할을 함.
impulse train은 periodic function.
때문에, impulse train은 Fourier series로 표현가능함.
$$\begin{align}
x(t) &= \displaystyle {\sum_{k=-\infty}^{\infty}} \delta (t -kT)
\end{align}
$$
- $T$ : impulse train의 period (= impulse function간의 간격)
위의 impulse traine은 주기 $T$로 delta function이 반복되는 것이며,
Fourier series를 이용하여 Fourier coef. $X_k$를 구하면 다음과 같음.
$$
\begin{align}
X_k &= \frac{1}{T}\int_{t=-\frac{T}{2}}^{\frac{T}{2}} \delta(t) e^{-jk\Omega_0 t} dt \\
&= \frac{1}{T}\int_{t=-\frac{T}{2}}^{\frac{T}{2}} \delta(0) e^{-jk\Omega_0 0} dt \\
&= \frac{1}{T} 1\\
&= \frac{1}{T}
\end{align}
$$
- $\Omega_0 = \frac{2\pi}{T}$ : Fundamental Frequency.
위에서 구한 Fourier coef. $X_k$를 사용하여
impulse train, $x(t)$를 Fourier series로 나타내면 다음과 같음.
$$
\begin{aligned}
x(t) &= \displaystyle{\sum_{k=-\infty}^{\infty}}
X_k e^{jk\Omega_ot} \\
&= \displaystyle{\sum_{k=-\infty}^{\infty}} \frac{1}{T} e^{jk\Omega_ot}
\end{aligned}
$$
이를 Fourier Transform $\mathcal{F}$하면 다음과 같음.
$$
\begin{aligned}
\mathcal{F}\left[ x(t) \right] &= \mathcal{F}\left[ \displaystyle{\sum_{k=-\infty}^{\infty}} \frac{1}{T} e^{jk\Omega_ot} \right] \\
&= \int_{t=-\infty}^{\infty} \displaystyle{\sum_{k=-\infty}^{\infty}} \frac{1}{T} e^{jk\Omega_ot} e^{-j\Omega t} dt \\
&= \frac{1}{T} \int_{t=-\infty}^{\infty} \displaystyle{\sum_{k=-\infty}^{\infty}} e^{jk\Omega_ot} e^{-j\Omega t} dt \\
&= \frac{1}{T} \left [ \cdots+ \mathcal{F}\left[ e^{-j3\Omega_o t} \right]+\mathcal{F}\left[ e^{-j2\Omega_o t} \right]+\mathcal{F}\left[ e^{-j\Omega_o t} \right]+\mathcal{F}\left[ e^{j0\Omega_o t} \right] +\mathcal{F}\left[ e^{j\Omega_o t} \right]+\mathcal{F}\left[ e^{j2\Omega_o t} \right]+\mathcal{F}\left[ e^{j3\Omega_o t} \right]+\cdots \right] \\
&= \frac{1}{T} \left [ \cdots+\mathcal{F}\left[ e^{-j3\Omega_o t} \right]+\mathcal{F}\left[ e^{-j2\Omega_o t} \right]+\mathcal{F}\left[ e^{-j\Omega_o t} \right]+\mathcal{F}\left[ 1\right] +\mathcal{F}\left[ e^{j\Omega_o t} \right]+\mathcal{F}\left[ e^{j2\Omega_o t} \right]+\mathcal{F}\left[ e^{j3\Omega_o t} \right]+\cdots \right]
\end{aligned}
$$
- $\mathcal{F}\left[f(x)\right] = \int^\infty_{-\infty}f(x)e^{-j\Omega t}dt$ : Fourier Transform임.
$e^{j\Omega_0 t}$ 의 FT은 $2\pi \delta(\Omega-\Omega_0)$이므로, 다음이 성립함.
$$
\begin{aligned}
\mathcal{F}\left[ x(t) \right] &= \frac{1}{T} \left [ \cdots+\mathcal{F}\left[ e^{-j3\Omega_o t} \right]+\mathcal{F}\left[ e^{-j2\Omega_o t} \right]+\mathcal{F}\left[ e^{-j\Omega_o t} \right]+\mathcal{F}\left[ 1\right] +\mathcal{F}\left[ e^{j\Omega_o t} \right]+\mathcal{F}\left[ e^{j2\Omega_o t} \right]+\mathcal{F}\left[ e^{j3\Omega_o t} \right]+\cdots \right] \\
&=\frac{1}{T}\displaystyle{\sum_{k=-\infty}^{\infty}}2\pi \delta(\Omega - k\Omega_0) \\
&=\frac{2\pi}{T}\displaystyle{\sum_{k=-\infty}^{\infty}} \delta(\Omega - k\Omega_0) \\
&=\Omega_0\displaystyle{\sum_{k=-\infty}^{\infty}} \delta(\Omega - k\Omega_0) \\
\end{aligned}
$$
2022.09.28 - [.../Signals and Systems] - [SS] Fourier Transform of Complex Exponential Function
[SS] Fourier Transform of Complex Exponential Function
Note:Time domain에서의 Complex Exponential Function의 곱(product)이 Frequency domain에서는 shift로 나타남. : Frequency Shifting. 다음과 같은 Complex Exponential Function의 Fourier Transform을 수행.$$e^{-j\Omega_0t}$$ Fourier Transform
dsaint31.tistory.com
결국, $T$ 간격으로 반복되는 Impulse train의 FT는
$\frac{2\pi}{T}=\Omega_0$로 반복되는 Impulse train이 된다.

'... > Signals and Systems' 카테고리의 다른 글
| [SS] Impulse Function (Dirac Delta Function) (0) | 2022.08.29 |
|---|---|
| [SS] Example : Sampling function and Sinc function. (0) | 2022.08.29 |
| [Math] Geometric Series (등비급수 or 기하급수) (0) | 2022.06.21 |
| [SS] FT of phase shifted sinusoid! (0) | 2021.12.07 |
| [SS] Partial Fraction Decomposition (부분분수분해) (0) | 2021.11.11 |