728x90
728x90
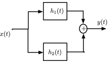
Parallel connection

Cascade connection이 곱셈인 반면, Parallel connection 은 덧셈임.
$$H(s)=H_1(s)+H_2(s)+\cdots + H_n(s)\\h(t)=h_1(t)+h_2(t)+\cdots +h_n(t)$$
Example
$$\begin{aligned}H(s)&=\frac{2}{s^2+3s+2} \\ &=\frac{A_1}{s+1}+\frac{A_2}{s+2}\end{aligned} \\ \quad \\ \left.A_1+\frac{A_2(s+1)}{s+2}\right|_{s=-1}=\left.\frac{2}{s+2}\right|_{s=-1} \\ \therefore A_1=2 \\ \left.A_2+\frac{A_1(s+2)}{s+1}\right|_{s=-2}=\left.\frac{2}{s+1}\right|_{s=-2} \\ \therefore A_2=-2 \\ \quad \\ H(s)=\frac{2}{s+1}+\frac{-2}{s+2}$$
- Partial fraction decomposition으로 term들을 구하여
- parallel connected sub-systems의 transfer function을 구함.
728x90
'... > Signals and Systems' 카테고리의 다른 글
| [SS] Discrete Sinusoidal Function : $2\pi$ 주기성 (1) | 2023.11.30 |
|---|---|
| [SS] Poles and Zeros: Impulse Response and Frequency Response (0) | 2023.11.16 |
| [SS] Cascade Connection : Transfer Function (1) | 2023.11.16 |
| [SS] System Representation w/ Laplace Transform (0) | 2023.11.16 |
| [SS] Convolution with an shifted impulse (0) | 2023.10.19 |
