
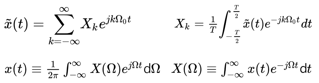
Continuous Time Fourier Series (CTFS)에서 Continuous Time Fouier Transform(CTFT)을 유도하는데 핵심은 다음과 같음.
CTFS가 주기신호(periodic signal)에 대해 적용이 되는 점을 이용하여,
주기($T$)가 무한대인 주기신호에 대해 CTFS를 구하면, CTFT가 얻어진다.
- 비주기신호를 "주기가 무한대인 주기신호"로 보고 유도한다.
주기 $T$를 무한대로 보낼 경우,
$T$에 의해 결정되는 fundamental frequency $\Omega_0$와 harmonice $k\Omega_0$들도 변경이 되게 된다.
우선 $T$와 관련된 이들을 정리하면 다음과 같음.
$$\Omega_0=\frac{2\pi}{T} \Rightarrow \frac{1}{T}=\frac{\Omega_0}{2\pi} \\ k\Omega_0 =k\frac{2\pi}{T} \text{ ,where }k \text{ is integer.}$$
위의 식들에 대해 $\underset{T\to \infty}{\lim}$를 가하면 다음과 같음.
$$\underset{T\to \infty}{\lim} \Omega_0 = \underset{T\to \infty}{\lim}\frac{2\pi}{T} =d\Omega \\ \underset{T\to \infty}{\lim} \frac{1}{T}= \underset{T\to \infty}{\lim} \frac{\Omega_0}{2\pi} = \frac{1}{2\pi}\underset{T\to \infty}{\lim}\Omega_0 = \frac{d\Omega}{2\pi} \\ \underset{T\to \infty}{\lim}k\Omega_0 = \underset{T\to \infty}{\lim}k\frac{2\pi}{T} = \Omega $$
- 위의 첫번째 식에서 $d\Omega$는 $\Omega$의 변화량이 0으로 접근하는 각각의 단계에서의 실체적인 값으로 흔히 "무한소"라고 불리는 것임. (해석학을 엄밀하게 적용할 경우, 무한소는 틀린 개념이지만... 의미 이해엔 보다 쉬운 듯하여 기재.)
- 두번째 식은 주기에 대해서는 무한소로 표현되는 $\frac{1}{T}$를 $d\Omega$로 표현한 것임. (CTFT유도에서 가장 중요한 표현)
- 세번째 식은 discrete한 harmonic들을 나타내는 $k\Omega_0$가 주기를 무한대로 보냄에 따라, 그 간격이 매우 작아져서 결국 연속변수 $\Omega$가 됨을 의미함. ( $\Omega$의 변화량이 0으로 접근한다는 건 결국 연속변수가 된다는 애기임. )
CTFS에서의 Fourier Series Coefficient의 식은 다음과 같음.
$$X_k=\frac{1}{T}\int^{T/2}_{-T/2} \tilde{x}_T (t) e^{-jk\Omega_0}t dt$$
- $\tilde{x}_T (t)$는 $T$를 주기로하는 함수라는 뜻임.
위의 CTFS에 $\underset{T\to \infty}{\lim}$를 적용하면 다음과 같음.
$$\begin{aligned}X_k&=\color{blue}{\frac{1}{T}}\int^{T/2}_{-T/2} \tilde{x}_T (t) e^{-j\color{red}{k\Omega_0}}t dt \\ \underset{T\to \infty}{\lim}X_k&= \color{blue}{\frac{d\Omega}{2\pi}} \int^\infty_{-\infty}x(t) e^{-j\color{red}{\Omega}t}dt\end{aligned}$$
- $\underset{T\to \infty}{\lim}\tilde{x}_T(t) = x(t)$로, 비주기함수 $x(t)$를 주기가 무한대인 주기함수로 처리.
위와 같이 얻어진 Coefficient를 CTFS의 합성식에 대입하고, 주기를 무한대로 보내면 CTFT의 합성식이 얻어짐.
$$\begin{aligned} \tilde{x}_T (t) &= \color{blue}{\sum^{\infty}_{k=-\infty}} \color{pink}{X_k} e^{j \color{red}{k\Omega_0} t}\\ x(t)&= \color{blue}{\int^\infty_{\Omega=-\infty}} \color{pink}{\left[ \frac{d\Omega}{2\pi} \int^\infty_{-\infty}x(t) e^{-j \Omega t}dt \right]} e^{j \color{red}{\Omega}t} \\&= \color{pink}{\frac{1}{2\pi}}\color{blue}{\int^\infty_{\Omega=-\infty}} \color{pink}{\left[ \int^\infty_{-\infty}x(t) e^{-j \Omega t}dt \right]} e^{j \color{red}{\Omega}t}\color{pink}{d\Omega} \\ &= \frac{1}{2\pi} \int^\infty_{\Omega=-\infty} \color{red}{\left[ \int^\infty_{-\infty}x(t) e^{-j \Omega t}dt \right]} e^{j \Omega t}d\Omega \\ &= \frac{1}{2\pi} \int^\infty_{\Omega=-\infty} \color{red}{X(\Omega)} e^{j \Omega t}d\Omega\end{aligned}$$
- 이때 주의할 점은 $\sum^\infty_{k=-\infty}$는 모든 하모닉에 대한 합이므로, 주기 $T$를 무한대로 보내어 harmonic간의 간격이 0으로 접근하여 연속변수 $\Omega$가 된 경우는 $\int^\infty_{\Omega=-\infty}$로 바뀌게 된다는 것임.
위의 식에 의해 CTFT의 합성식과 분석식을 다음과 같이 얻음.
$$x(t)=\frac{1}{2\pi}\int^\infty_{-\infty} X(\Omega) e^{j\Omega t}d\Omega$$
$$X(\Omega)=\int^\infty_{-\infty} x(t) e^{-j\Omega t}dt$$
'... > Signals and Systems' 카테고리의 다른 글
| [SS] Fourier Transform of Pulse Signal (0) | 2022.09.28 |
|---|---|
| [SS] Ch03 Quiz (정답포함) (0) | 2022.09.27 |
| [SS] Ch02 : 연습문제풀이 (1) | 2022.09.21 |
| [SS] Orthogonal Function: Complex Exponential Function (2) | 2022.09.21 |
| [SS] Impulse Function (Dirac Delta Function) (0) | 2022.08.29 |